There are two approaches to eliminating one of the sidebands, one is the filter method and the other is the phasing method. The process of selective filtering of the upper or lower sideband is difficult due to the stringent filters required, especially if there's signal content close to DC. This experiment will discuss the alternative, the phasing method, which uses a Hilbert Transformer to implement SSB Modulation.
Figure 1 below shows a simple message signal and an unmodulated carrier. It also shows the result of modulating the carrier with the message using SSB-SC. If you look closely, you'll notice that the modulated carrier is not the same frequency as either the message or the carrier.
![]() |
For the generation of SSB-SC, DSB-SC is used, where one of the sidebands of the modulated signal is filtered out. Since filters are available only with finite edge steepness, SSB-SC can only be implemented for the signal having a lower cut-off frequency not equal to zero. This is the case with speech signals, where the frequency range spans from 0.3 kHz < f < 3.4 kHz.
Many different filter methods can be used for the suppression of the unwanted sideband. If a Nyquist-filter is used instead of a filter with very good edge steepness, the modulation method is called vestigial (residual) sideband AM. It enables the transfer of signals with an only slightly higher bandwidth than as for example with SSB-SC. The advantage is that it can also carry DC voltage signals like TV video signal. SSB- modulation can be performed also by a so-called Hilbert-Transformer. This procedure is of interest, if SSB- modulation is implemented by digital signal processing.
![]() |
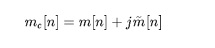
The discrete Hilbert Transform is a process by which a signal's negative frequencies are phase-advanced by 90 degrees and the positive frequencies are phase-delayed by 90 degrees. Shifting the results of the Hilbert Transform (+j) and adding it to the original signal creates a complex signal as we'll see below.
If mi[n] is the Hilbert Transform of mr[n], then:
![]() |
![]() |
![]() |
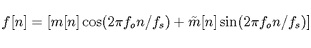
The SSB modulated signal, f[n] can be written as
![]() |
![]() |
![]() |
![]() |
![]() |
The SSBU equation above suggests a more efficient way of implementing SSB. Rather than performing the complex multiplication of mc[n] with exp(j*2*pi*fo*n/fs)and then throwing away the imaginary part, we can compute only the quantities we need by implementing SSBU as shown below.







